
大伙有没有感觉,现在各家的AI,好像越来越蠢了?
事情是这样的,前几天我心一狠,给 OpenAI 充了个200刀的会员,想着试试现在的 ChatGPT 强到啥程度了。
结果,我给他丢了个算术题,求解 5.9 = x+5.11,哥们直接给我算崩了。。
《这题真是幼儿园级别》?

堂堂200刀人工智能,还不如我20块的计算器啊?
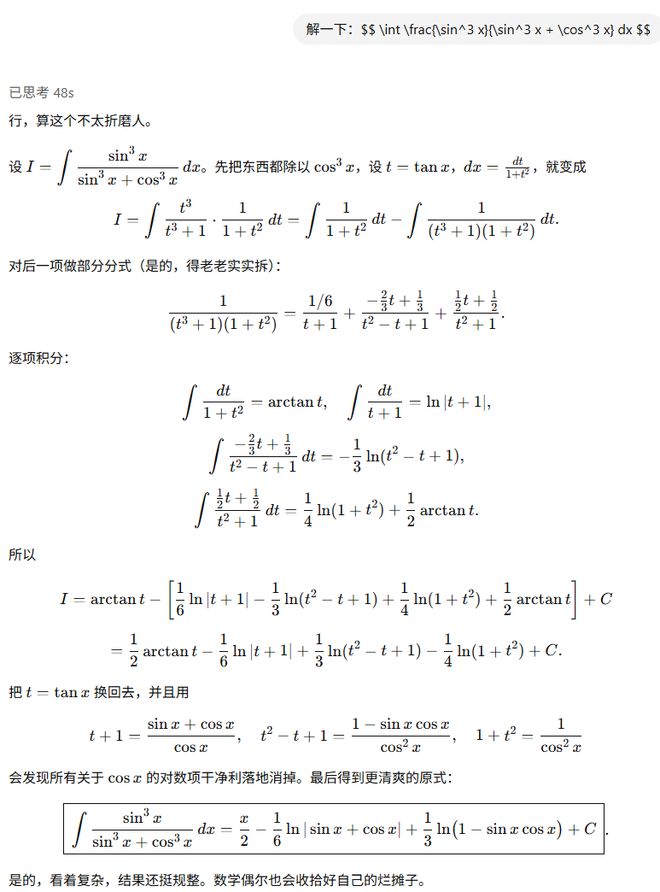
但,我记得GPT-4刚出那会儿,我还让它算过高数啊?难道模型升级还会砍智力吗?于是我给它丢了个微寄分过去。
结果,哥们还会换元法,一通操作下来,看着还真没啥问题,评论区的大学生可以验验真假。

所以,两次算数用的都是GPT-5,咋还给我见人下菜碟?
本以为是OpenAI飘了,结果我上网一查发现,这事儿还不是 GPT 一家干的,甚至有点行业趋势的意思。
前几天美团发布的开源模型LongCat,其中就提到自己用一个路由器提高效率。

DeepSeek V3.1发布时,也说过自己一个模型可以有两种思考模式。

而同样是AI巨头的Gemini,在Gemini 2.5 flash发布时,就引入了相似的模式,让模型自己决定怎么用脑。

总的来说,大伙都在让自己的模型“该思考时再思考”,该偷懒的时候偷懒。
这么做的动机,也很好理解,那就是省钱。从OpenAI发的资料来看,通过这种“让模型自己决定要不要思考”的方式省掉的tokens还真不少,GPT5输出token数就少了50%-80%。

DeepSeek官方发的图表中也显示,新模型tokens消耗也下降了大概20%-50%。

省一半token,这是什么概念?咱普通人可能体会不到,但对OpenAI这样的大公司来说,可能就是一大笔开销。
去年央视就有报道,ChatGPT每天耗电超过50万度,在如此庞大的基数下,省出来的部分,够一个上万户家庭的小镇用上一天了。

这也难怪奥特曼在网上跟网友说,你们跟GPT说声谢谢都要花我上千万美元。之前的高级模型,一句谢谢也能让它思考几分钟,还真有点浪费在里面。

所以,AI这看题下菜的能力,到底咋练成的呢?OpenAI 没公布具体原理,但 2023 年有篇论文叫《Tryage: Real-time, Intelligent Routing of User Prompts to Large Language Models》,专门分析了这个问题。
在GPT-3.5出来那阵,大模型还不会自己调节思考能力,每个问题都能让AI无限烧脑。

为了提高效率,研究者就想出来了一种叫“感知路由器”的模块,它本质上,就是在混合模型里塞了一个小巧的语言模型。
在前期训练时,路由器就和刷题一样,对“使用哪个模型最佳”,做出自己的预测。
哪个模型适合深度研究,哪个模型适合快速思考,当然有标准答案。系统就会将这个预测分和标准答案进行比对,计算出两者间的误差。接着通过微调路由器内部的参数,来减小这个误差。
当它刷数百万道题之后,就逐渐学会怎么给你的提示词,分配合适的模型了。

当一个新提示词进来,AI内部的路由小模型就会先扫一眼,评估一下这问题配不配我动脑。因为路由器比较轻量级,所以这个评估过程几乎是瞬时的。
而除了OpenAI这法子,AI还有一种偷懒的思路,那就是把不同的token,导向不同的神经网络。
像美团的LongCat就采用了这种方法,从报告来看,他们采用了一种叫“零计算专家”的机制。

通常来说,在你输入提示词之后,你的提示词会拆分成一个又一个的tokens,交给模型内部的神经网络去处理。
但Longcat在处理之前,会先把它交给一个叫“Top-k Router”小路由器,它就像一个流水线上的调度员,在收到token的时候,会判断这个token处理起来是复杂还是简单。
同时在它的内部,有很多不同分工的神经网络,我们把它们叫做专家。
这些专家,有的喜欢做难题,有的喜欢做简单题,当然,也有摸鱼界专家。
比如“请用Python写一个快速排序”这句话,“Python”和“快速排序”就是重点,“请”和“一个”就没那么重要。

像这些没啥用的token,咱就可以丢给那些摸鱼大王了,因为它们根本不需要怎么处理。这下,你就知道“零计算专家”这个名字是怎么来的了。
这也能解释为啥大伙都在吹这个模型“太快了”。
总的来说,这种设计对模型厂商来说算好事,不仅省钱还能提升训练效率。
从用户角度讲,模型更快了,价格更便宜了。但我感觉,这玩意是把双刃剑。如果用不好,还真是实打实影响用户体验。。
记得GPT-5刚上线,这路由器就翻车了。用户发现自己怎么都调不出来它的思考模式,问什么它都懒得思考,像摆烂一般只会“啊对对对”,连“blueberry里有几个b?”都数不明白。

而且,这也算剥夺了用户的选择权。OpenAI一刀切掉了4o,搞得很多网友在网上哭诉说自己失去了一位朋友。

这又让奥特曼又暂时为Plus用户把GPT-4o端了上来,并允许Pro用户继续访问其他旧模型。
那这个操作,不就变相说明,在发布的时候,这个路由模型就没调好嘛。
咱再说LongCat,它的确很快,但在思维上限上,还是打不过其他大模型的。像我就同时给LongCat和DeepSeek丢了一个同样的问题:什么叫“但丁真不是中国人,但丁真是中国人”?
LongCat这边刷刷出答案,但没解读出来这句话的幽默感;而DeepSeek虽然慢了点,笑点解析得却很清楚。
LongCat

DeepSeek

就像我问你114*514是什么,你说当然是58596啊,算得确实很快啊,但其实我只想让你配合我搞抽象。
当然,对路由器罢工,咱也有些解决办法,那就是在提示词里加入“深度思考”“ultra think”这些字眼,路由器收到后会尽量调用更强大的模型。
不过也只能说治标不治本了,多用几次可能就叫不醒了。。

这就说明 AI 确实罢工了,咱只能等几个小时再来了。
所以说到底,方向是好的,技术是新的,但现阶段的体验也确实只是“还行”的。当然,大模型成长速度比我们想的更快,咱还能坐等更快更好的模型出世。

